반응형
2026년 공무원 봉급 인상률 전망


오는 7월 21일 공무원보수위원회(이하 ‘공보위’) 3차 전체회의를 거쳐 7월 말 기획재정부 예산안에 반영될 ‘2026년 공무원 봉급 인상률’은 노사 간 줄다리기가 한창입니다. 현 시점에서 확인된 2026년 공무원 봉급 인상률을 둘러싼 쟁점·지표·시나리오를 종합적으로 정리해 보았습니다.
변수 1 : 노사(정부·노조) 내년도 공무원 임금 인상률 격차



노조 공무원 보수 인상률 요구안 6.6% → 5.4%
- 전국공무원노동조합·공노총 등은 민간 100인 이상 사업장 대비 83.9% 수준인 공무원 임금을 5년 내 100%까지 끌어올리기 위한 첫해 값으로 기본급 6.6% 인상을 제시했습니다.
- 정부 안이 2%대에서 머물자 노조는 두 차례 양보해 5.4%까지 낮췄지만 “최소한 3%대는 돼야 한다”고 강조하고 있습니다.
정부 제시안 2.3% → 2.6%
- 정부 측(인사혁신처·기획재정부)은 7월 14일 전체회의에서 2.3%∼2.6% 인상률을 제시했습니다.
- 물가 및 재정 여건을 이유로 3% 이상은 어렵다는 입장이지만, 저연차 처우 개선 필요성은 인정해 추가 인상 여지를 남겨뒀습니다.
결정 일정·절차
- 7월 21일 : 공보위 3차 회의에서 전문가 절충 후 표결 가능성
- 7월 말 : 기재부 2026년 예산안에 반영
- 9월 3일 전 : 정부 예산안 국회 제출
- 12월 : 국가재정법 절차에 따라 확정·공포


변수 2 : 거시경제 · 재정 지표
성장률·물가 전망
- 한국은행은 2026년 실질GDP 성장률 1.6%로 하향 전망했습니다.
- 소비자물가 상승률은 1.8%로 예상됩니다.
최저임금과의 연동 압박
- 2026년 최저임금은 시급 10,320원, 2.9% 인상으로 확정(고시 예정)됐습니다.
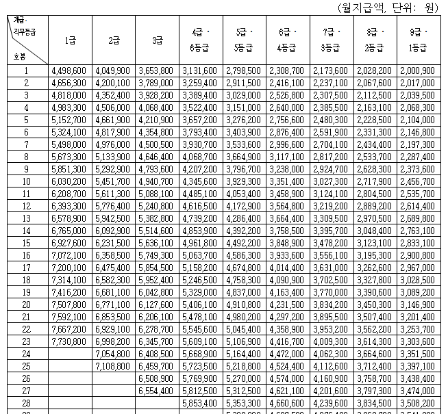
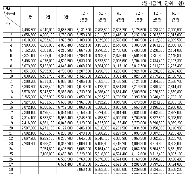
- 공무원 9급 1호봉(2025년 기준 200만900원)과 최저임금 월 환산액 215만6,880원의 역전 우려가 인상논의에 직접적인 압박으로 작용합니다.
재정건전성·세수
- 기재부는 2026년 총지출을 4%가량 늘리면서도 강도 높은 지출 구조조정을 예고해 인건비 확대 여력이 크지 않다고 시사했습니다.
변수 3 : 하위직 추가 처우 로드맵
- 인사혁신처는 2027년까지 9급 초임(봉급+수당) 300만원 목표를 발표한 바 있습니다(2025년 269만원).
- 노조는 기본급 일괄 6.6% 외에도
- 정액급식비 +3만원
- 6급 이하 직급보조비 +3만5,000원
- 초과근무수당 단가 상향
등의 수당 체계 개선을 요구 중입니다.

최근 3년 보수 인상 추이
- 2023년 : 5급 이하 1.7%(4급 이상 동결)
- 2024년 : 5급 이상 2.5%, 6급 이하 3.3%
- 2025년 : 예산안 기준 3.0% 단일 인상(9급 1호봉은 추가 3.6% 반영, 총 6.6%)
시나리오 분석
- 보수 시나리오(2.6%) : 정부 안 그대로 채택. 9급 초임 월 206만 원 선, 최저임금과의 상대격차는 확대.
- 절충 시나리오(3.0%±α) : 2025년과 유사하게 기재부가 3%선으로 결정, 공보위는 일부 차등·정액 인상 반영.
- 노조 목표 시나리오(5.0%~5.4%) : 전문가 조정·표결로 과반 찬성 시 가능하나 재정당국 수용 여부 불투명.
- 최고치 시나리오(6.6%) : 민간임금 100% 달성 로드맵 시작점. 물가·성장률·재정 모두 초과, 현실화 가능성 낮음.
블로거 시선 – 2026년 ‘3%대+α’ 가 현실적
현 거시경제 국면, 재정 여력, 최저임금 2.9% 등을 종합하면 3.0% 안팎이 예산 편성에 반영될 가능성이 가장 높습니다. 다만 9급 초임·6급 이하 하위직 처우는 정액 방식 추가 인상으로 ‘3%+0.5~1.0%p’ 상향될 수 있습니다. 기재부가 재정을 이유로 상향폭을 제한하더라도, 공보위·국회 단계에서 하위직 보수를 중심으로 결국 3%대 중반에 수렴할 가능성에 주목하시면 좋겠습니다.
TIP : 관심 있게 지켜볼 포인트
- 7월 21일 공보위 표결 결과
- 7월 말 기재부 예산안 보수 상승률
- 9월 국회 심의 과정에서의 증액 여부
- 2026년 1월 공무원봉급표 고시 후 실제 호봉별 금액
결론
2026년 공무원 봉급 인상은 ‘민간 격차 해소’라는 노조 목표와 ‘재정 건전성’이라는 정부 논리가 충돌하는 흔치 않은 대치 국면입니다. 지금까지의 관례·재정 상황을 고려하면 3%대(기본급)+하위직 추가 인상이 유력하지만, 공보위 표결·국회 증액이 변수로 남았습니다. 7월 말까지 이어질 협상 흐름을 주시하며, 예산안 발표 직후 다시 한 번 구체 수치를 점검해 보시기 바랍니다.
반응형
'경제' 카테고리의 다른 글
| 24K 금값 오늘 시세 (0) | 2025.07.19 |
|---|---|
| 시중은행 정기예금 금리비교 2025년 (0) | 2025.07.19 |
| 3세대 실손보험 보장내용 리뷰 (0) | 2025.07.17 |
| 삼성전자 배당금 지급일 (2025년 기준) (0) | 2025.07.16 |
| 도수치료 실비 보험 청구 방법, 자기부담금, 청구 횟수 한도 (0) | 2025.07.15 |