2026년 공무원 봉급 인상률 3.5% 확정
2026년 공무원 봉급 인상률이 3.5%로 확정되었습니다. 이는 지난 2017년 이후 9년 만에 가장 큰 폭의 인상으로, 최근 몇 년간 공무원 급여 인상률이 물가 상승률을 따라가지 못하며 체감 소득이 줄어들었던 현실을 반영한 결정이라 할 수 있습니다. 정부는 이재명 대통령 주재로 열린 국무회의에서 ‘회복과 성장을 위한 2026년 예산안’을 심의·의결하면서, 공무원 보수 인상안을 확정 지었습니다.



이번 2026년 공무원 봉급 인상률 결정은 민간 임금 수준과의 격차 확대, 공무원노조의 지속적인 요구, 그리고 인재 유출 방지 등 다양한 배경이 맞물려 이루어진 정책적 조치라 볼 수 있습니다.
2026년 공무원 봉급 인상률
- 확정 2026년 공무원 봉급 인상률: 3.5%
- 2026년 공무원 보수 인상 배경: 민간 대비 보수 격차 해소, 공직자 사기 진작, 생활 안정 보장
- 특징: 2017년 이후 공무원 급여 최대 인상 폭, 9년 만에 3%대 중후반대 회복
공무원노조는 당초 6.6%의 인상을 요구했으나, 정부는 재정 부담과 국가 예산 균형을 고려해 3.5%를 최종 확정했습니다. 이는 공직사회 불만을 일정 부분 해소하는 동시에 재정 건전성을 지키려는 절충안이라 평가됩니다.
내년 공무원 임금 인상률의 의미
2020년까지는 민간 임금 대비 공무원 보수가 약 90% 수준을 유지했으나, 2024년에는 83.9% 수준까지 떨어졌습니다. 특히 코로나19 이후 민간의 임금 상승 폭이 커진 반면, 공무원 보수는 2021년부터 2023년까지 3년 연속 물가 상승률을 밑돌며 실질임금이 감소하는 결과를 낳았습니다.
따라서 이번 공무원 임금 인상률은 단순한 봉급 인상이라기보다는 공직사회 유출 방지와 직무 몰입도 향상을 위한 정부의 전략적 선택이라 볼 수 있습니다.
지난 10년간 공무원 보수 인상률 추이
- 2017년: 3.5%
- 2018년: 2.6%
- 2019년: 1.5%
- 2020년: 2.8%
- 2021년: 0.9% (코로나19 여파)
- 2022년: 1.4%
- 2023년: 1.7%
- 2024년: 2.5%
- 2025년: 3.0%
- 2026년: 3.5% 확정
이 통계를 통해 알 수 있듯, 2021년 이후 점진적으로 회복세를 보이다가 2026년에 이르러 2017년 수준을 다시 기록하게 된 것입니다.
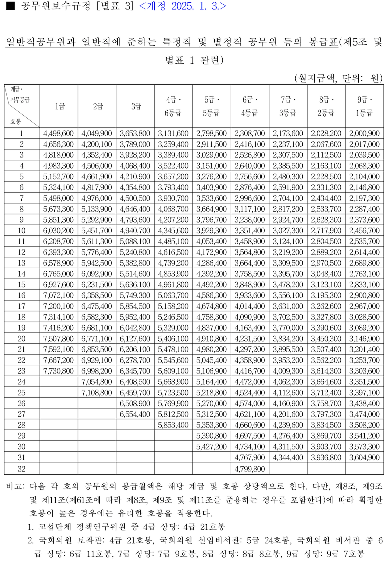
예상 2026년 공무원 봉급표 (2025년 대비 3.5% 인상 반영)
아래 봉급표는 2025년 공무원 봉급표를 기준으로 각 셀에 3.5% 인상률을 적용해 산출한 예상액입니다. (단위: 원, 월 기준)
9급 공무원 (1호봉~10호봉 예시)
- 1호봉: 2,000,900 → 2,070,000
- 2호봉: 2,031,100 → 2,102,000
- 3호봉: 2,039,500 → 2,111,000
- 4호봉: 2,068,300 → 2,140,000
- 5호봉: 2,104,000 → 2,177,000
- 6호봉: 2,146,800 → 2,222,000
- 7호봉: 2,197,300 → 2,274,000
- 8호봉: 2,287,400 → 2,367,000
- 9호봉: 2,373,600 → 2,456,000
- 10호봉: 2,456,300 → 2,542,000
7급 공무원 (1호봉~5호봉 예시)
- 1호봉: 2,173,600 → 2,249,000
- 2호봉: 2,207,100 → 2,284,000
- 3호봉: 2,225,800 → 2,304,000
- 4호봉: 2,268,500 → 2,348,000
- 5호봉: 2,310,000 → 2,391,000
교원 (유치원·초중고, 1호봉~5호봉 예시)
- 1호봉: 1,915,100 → 1,982,000
- 2호봉: 1,973,100 → 2,042,000
- 3호봉: 2,031,900 → 2,103,000
- 4호봉: 2,090,500 → 2,163,000
- 5호봉: 2,149,600 → 2,224,000



이외에도 전 직급·호봉별로 동일하게 3.5% 인상률이 적용되며, 이는 전체 공무원 급여 체계에 반영될 예정입니다.
결론
2026년 공무원 봉급 인상률 3.5% 확정은 공직자의 생활 안정성 강화와 민간 임금과의 격차 완화라는 두 가지 과제를 동시에 반영한 정책 결정입니다. 비록 노조의 요구치보다는 낮지만, 지난 수년간 이어진 실질임금 감소와 사기 저하 문제를 일정 부분 완화할 수 있다는 점에서 긍정적 평가를 받을 수 있습니다.
궁극적으로는 단순한 인상률 조정에 그치지 않고, 성과·직무 중심의 보수 체계 개편과 재정 건전성 확보가 병행되어야 할 것입니다. 이번 인상은 그 출발점에 해당하며, 공직사회의 지속 가능한 발전을 위한 밑거름으로 작용할 가능성이 큽니다.



'경제' 카테고리의 다른 글
| 18K 금시세 1돈가격, 오늘 금값 (0) | 2025.09.20 |
|---|---|
| 돌반지 1돈 가격 (0) | 2025.09.09 |
| 자동차보험 비교견적사이트 (0) | 2025.08.09 |
| 민생회복 소비쿠폰 선불카드 잔액조회 방법 (0) | 2025.08.05 |
| 삼성전자 배당금 지급일·배당락일 (0) | 2025.08.03 |